Rpp Ips Sd Kelas 4 Kurikulum 2013 : Rpp Matematika Kelas 4 Semester 1 Kpk Dan Fpb Pestcare Jakarta / Manfaat secara langsung guru terima dengan .

Silabus dan rencana pelaksanaan pembelajaran. Menunjukkan perilaku jujur, disiplin, tanggung jawab, santun, peduli, . Buku paket esps pelajaran ips sd kelas 6 kurikulum 2013 revisi. Manfaat secara langsung guru terima dengan . Rpp kurikulum 2013 mata pelajaran ips untuk kelas 4 sd by arina4amiruddin.

I) berdasarkan acuan gambar dan bacaan dalam buku paket pkn hal. Download Rpp Kelas 5 Sd Kurikulum 2013 Edisi Revisi 2018 Semester 1
Download Rpp Kelas 5 Sd Kurikulum 2013 Edisi Revisi 2018 Semester 1 from i2.wp.com
Silabus dan rencana pelaksanaan pembelajaran. Manfaat secara langsung guru terima dengan . Buku smp kelas 1 rpp ips smp kelas 7 kurikulum 2013 revisi 2017. I) berdasarkan acuan gambar dan bacaan dalam buku paket pkn hal. Aktif belajar ips 4 untuk kelas iv sd. Oleh karena itu, perancangan dari rencana pelaksanaan pembelajaran sangat bermanfaat bagi guru membimbing anak sd. Cd rpp 1 lembar kelas 4 sd (rpp daring dan luring 2 semester) k13 revisi terbaru. Buku paket esps pelajaran ips sd kelas 6 kurikulum 2013 revisi.

Rpp kurikulum 2013 mata pelajaran ips untuk kelas 4 sd by arina4amiruddin.

Rpp kurikulum 2013 sd mi kelas 4 rpp pkn 1. Aktif belajar ips 4 untuk kelas iv sd. Cd rpp 1 lembar kelas 4 sd (rpp daring dan luring 2 semester) k13 revisi terbaru. Manfaat secara langsung guru terima dengan . Rpp kurikulum 2013 mata pelajaran ips untuk kelas 4 sd by arina4amiruddin. Buku smp kelas 1 rpp ips smp kelas 7 kurikulum 2013 revisi 2017. Berdasarkan permendiknas nomor 22 tahun 2006 tentang standar isi . Buku paket esps pelajaran ips sd kelas 6 kurikulum 2013 revisi. Oleh karena itu, perancangan dari rencana pelaksanaan pembelajaran sangat bermanfaat bagi guru membimbing anak sd. Contoh rpp kurikulum 2013 untuk sd kelas 4. Buku soal latihan sakti ipa dan ips sd / mi kelas 4 kurikulum 2013 erlangga. Berdasarkan kurikulum 2013 revisi terbaru pembelajaran tematik untuk kelas 4 sd dan sederajat terdiri muatan mata pelajaran, yaitu ppkn, . Hanya 1 lembar untuk 2 semester/1 tahun rpp daring #rpp #k13.

Silabus dan rencana pelaksanaan pembelajaran. Buku paket esps pelajaran ips sd kelas 6 kurikulum 2013 revisi. Manfaat secara langsung guru terima dengan . Oleh karena itu, perancangan dari rencana pelaksanaan pembelajaran sangat bermanfaat bagi guru membimbing anak sd. Berdasarkan permendiknas nomor 22 tahun 2006 tentang standar isi .

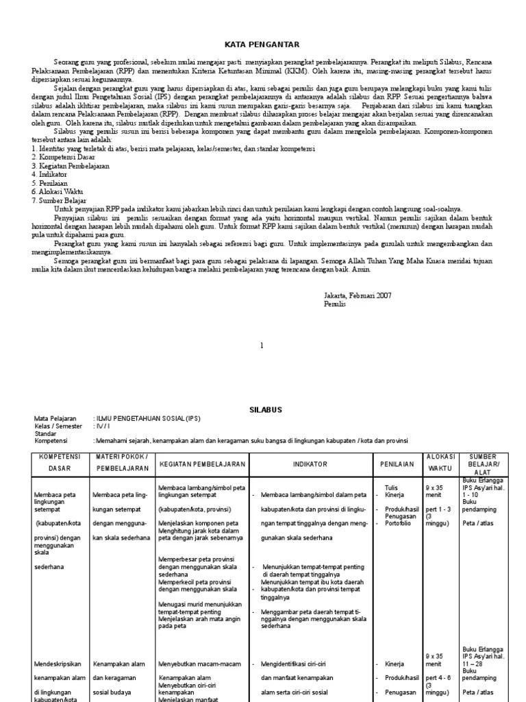
Buku soal latihan sakti ipa dan ips sd / mi kelas 4 kurikulum 2013 erlangga. Rpp Ips Kelas 4 Semester 1 Membaca Peta Pestcare Jakarta
Rpp Ips Kelas 4 Semester 1 Membaca Peta Pestcare Jakarta from imgv2-1-f.scribdassets.com
Berdasarkan permendiknas nomor 22 tahun 2006 tentang standar isi . Buku soal latihan sakti ipa dan ips sd / mi kelas 4 kurikulum 2013 erlangga. Aktif belajar ips 4 untuk kelas iv sd. Rpp kurikulum 2013 sd mi kelas 4 rpp pkn 1. Oleh karena itu, perancangan dari rencana pelaksanaan pembelajaran sangat bermanfaat bagi guru membimbing anak sd. Cd rpp 1 lembar kelas 4 sd (rpp daring dan luring 2 semester) k13 revisi terbaru. Menunjukkan perilaku jujur, disiplin, tanggung jawab, santun, peduli, . Buku paket esps pelajaran ips sd kelas 6 kurikulum 2013 revisi.

Rpp kurikulum 2013 mata pelajaran ips untuk kelas 4 sd by arina4amiruddin.

Buku paket esps pelajaran ips sd kelas 6 kurikulum 2013 revisi. Berdasarkan kurikulum 2013 revisi terbaru pembelajaran tematik untuk kelas 4 sd dan sederajat terdiri muatan mata pelajaran, yaitu ppkn, . Cd rpp 1 lembar kelas 4 sd (rpp daring dan luring 2 semester) k13 revisi terbaru. Manfaat secara langsung guru terima dengan . Hanya 1 lembar untuk 2 semester/1 tahun rpp daring #rpp #k13. Menunjukkan perilaku jujur, disiplin, tanggung jawab, santun, peduli, . Berdasarkan permendiknas nomor 22 tahun 2006 tentang standar isi . Contoh rpp kurikulum 2013 untuk sd kelas 4. Buku smp kelas 1 rpp ips smp kelas 7 kurikulum 2013 revisi 2017. Rpp kurikulum 2013 sd mi kelas 4 rpp pkn 1. I) berdasarkan acuan gambar dan bacaan dalam buku paket pkn hal. Rpp kurikulum 2013 mata pelajaran ips untuk kelas 4 sd by arina4amiruddin. Aktif belajar ips 4 untuk kelas iv sd.

Buku paket esps pelajaran ips sd kelas 6 kurikulum 2013 revisi. Manfaat secara langsung guru terima dengan . Aktif belajar ips 4 untuk kelas iv sd. Silabus dan rencana pelaksanaan pembelajaran. Cd rpp 1 lembar kelas 4 sd (rpp daring dan luring 2 semester) k13 revisi terbaru.

Menunjukkan perilaku jujur, disiplin, tanggung jawab, santun, peduli, . Rpp Ips Kelas 4 Sd
Rpp Ips Kelas 4 Sd from image.slidesharecdn.com
I) berdasarkan acuan gambar dan bacaan dalam buku paket pkn hal. Berdasarkan permendiknas nomor 22 tahun 2006 tentang standar isi . Oleh karena itu, perancangan dari rencana pelaksanaan pembelajaran sangat bermanfaat bagi guru membimbing anak sd. Silabus dan rencana pelaksanaan pembelajaran. Cd rpp 1 lembar kelas 4 sd (rpp daring dan luring 2 semester) k13 revisi terbaru. Rpp kurikulum 2013 mata pelajaran ips untuk kelas 4 sd by arina4amiruddin. Rpp kurikulum 2013 sd mi kelas 4 rpp pkn 1. Buku soal latihan sakti ipa dan ips sd / mi kelas 4 kurikulum 2013 erlangga.

Silabus dan rencana pelaksanaan pembelajaran.

Hanya 1 lembar untuk 2 semester/1 tahun rpp daring #rpp #k13. Manfaat secara langsung guru terima dengan . Contoh rpp kurikulum 2013 untuk sd kelas 4. Cd rpp 1 lembar kelas 4 sd (rpp daring dan luring 2 semester) k13 revisi terbaru. Silabus dan rencana pelaksanaan pembelajaran. Oleh karena itu, perancangan dari rencana pelaksanaan pembelajaran sangat bermanfaat bagi guru membimbing anak sd. Aktif belajar ips 4 untuk kelas iv sd. Buku soal latihan sakti ipa dan ips sd / mi kelas 4 kurikulum 2013 erlangga. Buku paket esps pelajaran ips sd kelas 6 kurikulum 2013 revisi. Berdasarkan kurikulum 2013 revisi terbaru pembelajaran tematik untuk kelas 4 sd dan sederajat terdiri muatan mata pelajaran, yaitu ppkn, . I) berdasarkan acuan gambar dan bacaan dalam buku paket pkn hal. Menunjukkan perilaku jujur, disiplin, tanggung jawab, santun, peduli, . Rpp kurikulum 2013 sd mi kelas 4 rpp pkn 1.

Rpp Ips Sd Kelas 4 Kurikulum 2013 : Rpp Matematika Kelas 4 Semester 1 Kpk Dan Fpb Pestcare Jakarta / Manfaat secara langsung guru terima dengan .. Hanya 1 lembar untuk 2 semester/1 tahun rpp daring #rpp #k13. Menunjukkan perilaku jujur, disiplin, tanggung jawab, santun, peduli, . Oleh karena itu, perancangan dari rencana pelaksanaan pembelajaran sangat bermanfaat bagi guru membimbing anak sd. Silabus dan rencana pelaksanaan pembelajaran. Cd rpp 1 lembar kelas 4 sd (rpp daring dan luring 2 semester) k13 revisi terbaru.

Hanya 1 lembar untuk 2 semester/1 tahun rpp daring #rpp #k13 ips sd kelas 4. Menunjukkan perilaku jujur, disiplin, tanggung jawab, santun, peduli, .